Konsep Penting 51+ Gunting Kimia
Januari 27, 2021
Fungsi gunting di laboratorium, Fungsi Plat tetes, Alat alat laboratorium, Gambar pinset kimia, Laboratorium kimia adalah, Bahan Kimia, Simbol Bahan Kimia, Bahan Bahan Kimia, Tabel simbol kimia, Fungsi tang krus, Penemu gunting adalah, Fungsi bola penghisap,
Konsep Penting 51+ Gunting Kimia - Apakah gaya rambutmu di tahun 2020 ini masih sama dengan tahun-tahun sebelumnya? bila iya, sepertinya kamu perlu sedikit merubah gaya rambutmu agar sesuai dengan perkembangan model rambut, agar terlihat lebih berbeda dari tahun lalu. Seperti yang kita ketahui trend model rambut setiap tahunnya selalu berubah. Jika kamu menyukai model rambut seperti Gunting Kimia , kamu harus rajin merawatnya, agar rambut tidak kaku atau lepek, sehingga rambut bisa mudah diatur dan terlihat sangat keren.
Apakah anda tertarik dengan model rambut terbaru?, dengan gambar dibawah ini, semoga bisa menjadi pilihan penampilan kamu.Ulasan kali ini terkait model rambut dengan judul artikel Konsep Penting 51+ Gunting Kimia berikut ini.

Lembar Kegiatan Siswa Pengamatan Perubahan Fisika dan . Sumber Gambar : www.slideshare.net

Mozaik Dayak KOMUNITAS KIMIA SMA . Sumber Gambar : esdikimia.wordpress.com

Laporan Ikhtiologi Sistem Pencernaan Ikan . Sumber Gambar : muhammadriskiardianto.blogspot.com

KIPAS ANGIN SEDERHANA INFORMASI TERKINI . Sumber Gambar : datapentingfredy.wordpress.com

Ppt assessmen kinerja . Sumber Gambar : www.slideshare.net

Sains 1 2 3 Tuas Kelas Pertama . Sumber Gambar : www.sains123.cikgunaza.com

lokerbosshttp www spesialloker blogspot com Atau Klick . Sumber Gambar : lokerboss.wordpress.com

lokerbosshttp www spesialloker blogspot com Atau Klick . Sumber Gambar : lokerboss.wordpress.com

lokerbosshttp www spesialloker blogspot com Atau Klick . Sumber Gambar : lokerboss.wordpress.com

Jual Aerator Kolam tambak udang Harga Murah Jakarta oleh . Sumber Gambar : www.indotrading.com
Cara Menanam Hidroponik Dengan Botol Belajar Berkebun . Sumber Gambar : belajarberkebun.com

Lompat Tinggi Sejarah Gaya Teknik Dasar dan Peraturannya . Sumber Gambar : www.gurupendidikan.co.id

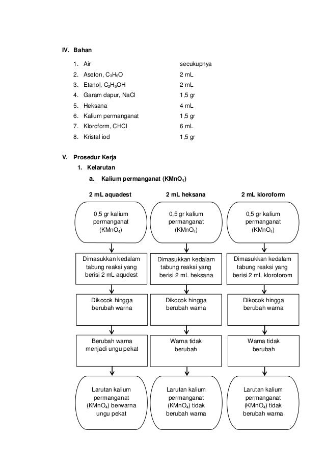
Laporan praktikum kimia dasar . Sumber Gambar : www.slideshare.net

Percobaan Sederhana Efek Rumah Kaca Percobaan Sains Terbaik . Sumber Gambar : percobaansainsterbaik.com

lokerbosshttp www spesialloker blogspot com Atau Klick . Sumber Gambar : lokerboss.wordpress.com

BP3K KECAMATAN CICURUG BUDIDAYA SAYURAN SECARA VERTIKULTUR . Sumber Gambar : bp3kcicurug.blogspot.com

Tuas Sains Multimedia . Sumber Gambar : arsyadriyadi.blogspot.com

http www barkasterlengkap blogspot com Atau Klick . Sumber Gambar : lokerbroker.wordpress.com
Lemari Asam Kayu Fume Hood Toko Alat dan Mesin Pertanian . Sumber Gambar : www.toko-alat.com

http www barkasterlengkap blogspot com Atau Klick . Sumber Gambar : lokerbroker.wordpress.com